Top 13 Công thức giải nhanh trắc nghiệm nguyên hàm - tích phân và ứng dụng chi tiết nhất
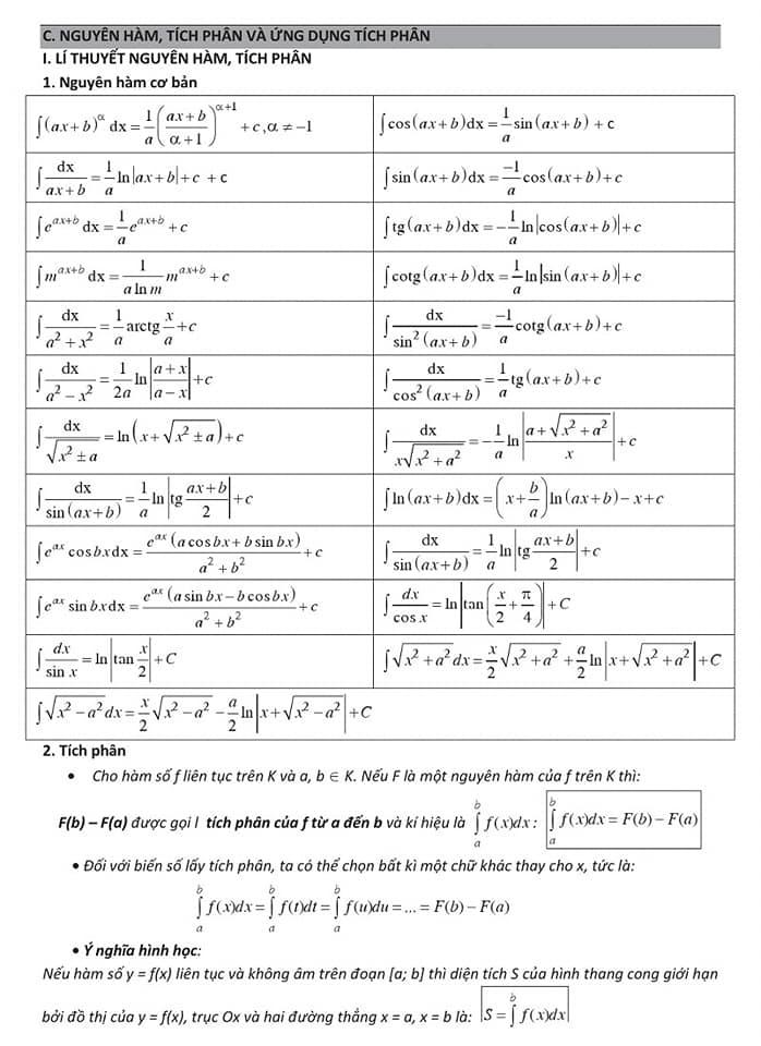
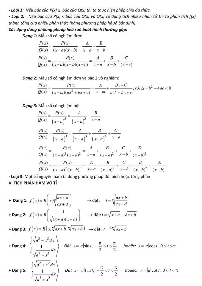
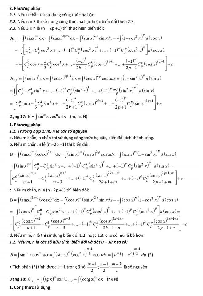
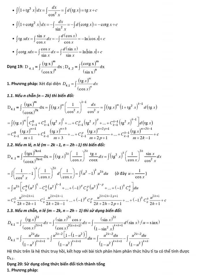
Nguyên hàm – tích phân và ứng dụng là một trong những phần quan trọng và khó của chương trình Toán 12. Để làm tốt các dạng bài tập trắc nghiệm, ngoài việc nắm ... xem thêm...vững công thức nguyên hàm – tích phân cơ bản, bạn cần biết cách vận dụng linh hoạt các công thức giải nhanh. Bài viết này sẽ tổng hợp chi tiết các công thức giải nhanh trắc nghiệm nguyên hàm – tích phân và ứng dụng hay nhất.






























